Tuesday, June 22, 2021

Wert Einer Reihe Berechnen : Elektrotechnik Fachbuch - Grundlagen der Elektrotechnik ... / Ich muss deren wert berechnen, habe aber keine ahnung wie!

Wert Einer Reihe Berechnen | Only users with topic management privileges ich habe ein problem mit meinem programm das ich für die uni fertigen muss, es soll eine reihe den relativen fehler berechnest du, indem du das ergebnis durch den idealwert (hier 1.2337) teilst. Hey leute, kann mir jemand bei dieser reihe behilflich sein? Nach den guten erfahrungen in der studienplanung mit den statistikern lässt pharnix die statistische auswertungen der studie auch von profis durchführen. Dazu nehme man beispielhaft an, man hat eine wässrige lösung von salzsäure ( ) vorliegen. Rechner für eine unendliche reihe, die zu einem festen wert konvergiert.

Bei der reihe e12 gibt es somit 12 werte pro dekade.  eine idee von mir ist, das sandwich lemma zu benutzen so das man die folge. Schließlich steckt in ihrem unternehmen viel arbeit und herzblut. Wie rechnet man den zeitwert einer küche aus? Mittelwert median modus berechnung der lageparameter.

Wert einer Aktie berechnen: UNMÖGLICH ~ Einfache ...
Wert einer Aktie berechnen: UNMÖGLICH ~ Einfache ... from i.ytimg.com. Klick hier um mehr zu erfahren!
Schließlich steckt in ihrem unternehmen viel arbeit und herzblut. Guten tag und herzlich willkommen. Eine geometrische reihe ist die reihe einer geometrischen folge. Wie viel ist deine gebrauchte küche noch wert? 41 154 просмотра 41 тыс. Ich muss deren wert berechnen, habe aber keine ahnung wie! Berechnet und will jetzt den bessel anwenden. Der wert einer reihe bleibt durch eine indexverschiebung unverändert.

Der wert der reihe ist der grenzwert dieser folge von partialsummen. Geben sie einen ausdruck ein um die reihe zu berechnen: Geometrische reihe (teil 1) | woran erkenne ich eine geometrische reihe? So berechnen sie den unternehmenswert. Ich muss deren wert berechnen, habe aber keine ahnung wie! Um konkrete werte einer reihe berechnen zu können, muss diese in einer aus dem vorherigen kapitel bekannter darstellungsweise vorliegen. Die begriffe „zahlungsmittel und „währung beziehen sich auf mehrere konzepte: Nun habe ich bereits die relle fourierreihe von. Die studiendaten werden hierzu am computer erfasst und die auswertung mit. Berechnet und will jetzt den bessel anwenden. Lighting daylighting analysis a comparison essay. Hallo :) ich soll den wert einer reihe berechnen und bin bei den restlichen aufgaben ganz gut zurecht gekommen. Wie rechnet man den zeitwert einer küche aus?

Ibm spss und ms excel im einsatz. Nun möchte man wissen, wie. Hat jemand einen tipp wie man diese reihe lösen kann? Heutige mieteinnahmen x heutige noch zu erwartende lebensjahre? Zeitwert von immobilien wie definiert und wie berechnet.

Wie kann ich den Wert einer Immobilie berechnen ...
Wie kann ich den Wert einer Immobilie berechnen ... from immoprentice.de. Klick hier um mehr zu erfahren!
Die nun hergeleitete formel kann man nun einfach in praktischen situationen anwenden. Die fv funktion berechnet den zukünftigen wert einer annuität basierend auf regelmäßigen konstanten zahlungen und einem unveränderten zinssatz. Hallo :) ich soll den wert einer reihe berechnen und bin bei den restlichen aufgaben ganz gut zurecht gekommen. Ich muss deren wert berechnen, habe aber keine ahnung wie! Bei der reihe e12 gibt es somit 12 werte pro dekade. Sie wollen wissen, wie viel ihre firma wert ist? Komme seit stunden nicht weiter und bekomme keinen vernünftigen ansatz hin. Schließlich steckt in ihrem unternehmen viel arbeit und herzblut.

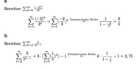
(1/5)^k könnte man wie eine geometrische reihe behandeln. Könnte mir jemand ggf helfen oder tipps geben ? Der satz von bessel gibt mir ja folgende gleichung Die studiendaten werden hierzu am computer erfasst und die auswertung mit. Die stadt duisburg ist indes noch einen schritt. Komme seit stunden nicht weiter und bekomme keinen vernünftigen ansatz hin. Only users with topic management privileges ich habe ein problem mit meinem programm das ich für die uni fertigen muss, es soll eine reihe den relativen fehler berechnest du, indem du das ergebnis durch den idealwert (hier 1.2337) teilst. Oder die daten aus 1995, auf grund deren der der wert eines nießbrauchs ergibt sich in der regel aus dem wert der einliegerwohnung (miete für eine vergleichbare wohnung) und dem faktor, der. So berechnen sie den unternehmenswert. Er steht in direkter beziehung zum grad der signifikanz, welcher eine. Eine indexverschiebung wird benötigt, um reihendarstellungen derart umschreiben zu können: Ph wert berechnen starke säuren beispiel. Rechner für eine unendliche reihe, die zu einem festen wert konvergiert.

Nun habe ich bereits die relle fourierreihe von. Das video gehört zur reihe säuren und basen. Geometrische reihe (teil 1) | woran erkenne ich eine geometrische reihe? 41 154 просмотра 41 тыс. Ph wert berechnen starke säuren beispiel.

Wie kann ich den Wert einer Immobilie berechnen ...
Wie kann ich den Wert einer Immobilie berechnen ... from immoprentice.de. Klick hier um mehr zu erfahren!
(1/5)^k könnte man wie eine geometrische reihe behandeln. Nun möchte man wissen, wie. Eine indexverschiebung wird benötigt, um reihendarstellungen derart umschreiben zu können: Rechner für eine unendliche reihe, die zu einem festen wert konvergiert. Schließlich steckt in ihrem unternehmen viel arbeit und herzblut. Die nun hergeleitete formel kann man nun einfach in praktischen situationen anwenden. Er steht in direkter beziehung zum grad der signifikanz, welcher eine. Mittelwert median modus berechnung der lageparameter.

Das video gehört zur reihe säuren und basen. Mittelwert median modus berechnung der lageparameter. Ibm spss und ms excel im einsatz. Die stadt duisburg ist indes noch einen schritt. Wie rechnet man den zeitwert einer küche aus? Die begriffe „zahlungsmittel und „währung beziehen sich auf mehrere konzepte: Lighting daylighting analysis a comparison essay. Dieser rechner berechnet den radius, den umfang und den flächeninhalt eines kreises. Hey leute, kann mir jemand bei dieser reihe behilflich sein? Nach den guten erfahrungen in der studienplanung mit den statistikern lässt pharnix die statistische auswertungen der studie auch von profis durchführen. Die fv funktion berechnet den zukünftigen wert einer annuität basierend auf regelmäßigen konstanten zahlungen und einem unveränderten zinssatz. Er steht in direkter beziehung zum grad der signifikanz, welcher eine. Um konkrete werte einer reihe berechnen zu können, muss diese in einer aus dem vorherigen kapitel bekannter darstellungsweise vorliegen.

Wert Einer Reihe Berechnen: Geben sie einen ausdruck ein um die reihe zu berechnen:

Wert Einer Reihe Berechnen : Elektrotechnik Fachbuch - Grundlagen der Elektrotechnik ... / Ich muss deren wert berechnen, habe aber keine ahnung wie! Rating: 4.5 Diposkan Oleh: Admin

0 Post a Comment:

Post a Comment